• Предмет: Алгебра
  • Автор: fkhgkj
  • Вопрос задан 8 лет назад

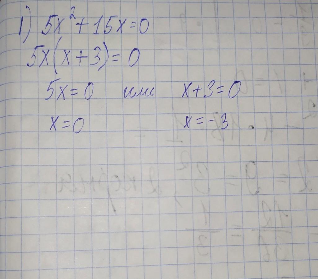
Розв'яжи неповне квадратне рівняння: 5x2+15x=0

(Першим вводь більший корінь)

Корені: x= ; x= .

Ответы

Ответ дал: mznkarimov
0

Ответ:

x=0 x=-3. x(5x+15)=0

x=0. 5x+15=0. x-3

Ответ дал: Rahmann
0

Розв'яжи неповне квадратне рівняння: 5x2+15x=0

(Першим вводь більший корінь)

Корені: x= ; x= .

Корни: x = 0, x = - 3

Приложения:
Вас заинтересует