• Предмет: Алгебра
  • Автор: shiganovamari
  • Вопрос задан 8 лет назад

помогите пожалуйста​

Приложения:

Ответы

Ответ дал: an200093
0

Ответ:

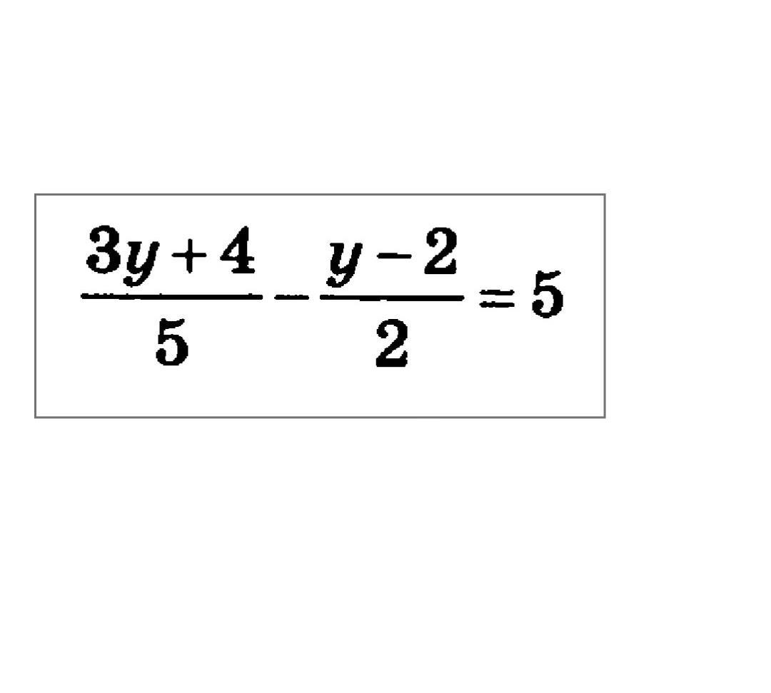
2(3у+4)-5(у-2)=50

6у+8-5(у-2)=50

6у+8-5у+10=50

у+8+10=50

у+18=50

у=50-18

у=32

Вас заинтересует