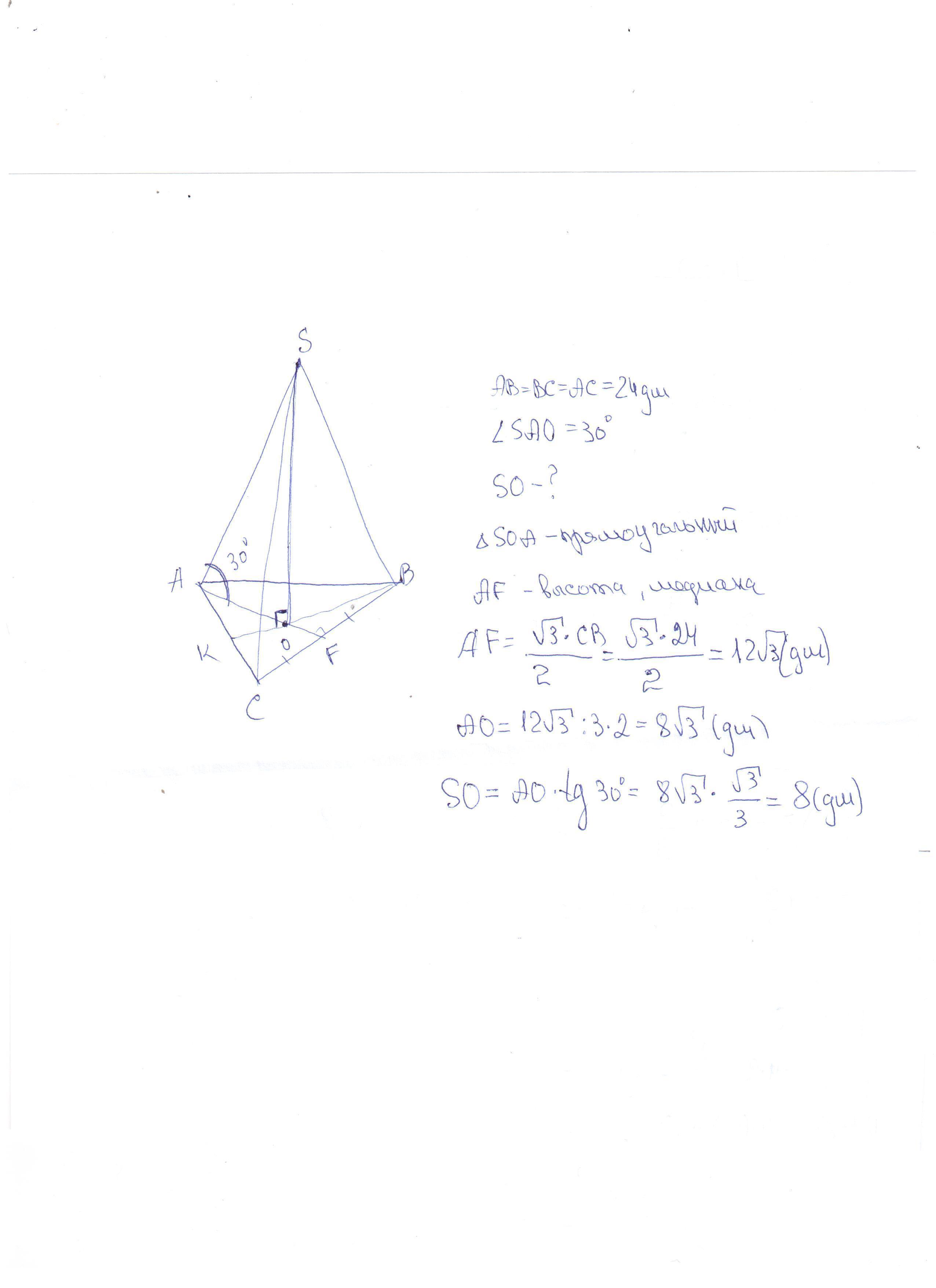
Сторона основания правильной треугольной пирамиды равна 24 дм, боковое ребро с плоскостью основания образует угол 30°.
Вычисли высоту пирамиды.
Ответы
Ответ дал:
0
Ответ:
Вычисли высоту пирамиды.
Приложения:

Вас заинтересует
2 года назад
2 года назад
3 года назад
3 года назад
8 лет назад
9 лет назад