• Предмет: Алгебра
  • Автор: matematikL
  • Вопрос задан 8 лет назад

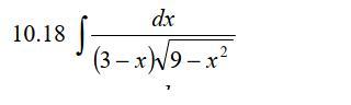
СРОЧНО ИНТЕГРАЛ ПЛИС

Приложения:

Ответы

Ответ дал: ant20202020
0

Решение смотрите во вложении

Приложения:
Вас заинтересует