• Предмет: Математика
  • Автор: bogolyubova559
  • Вопрос задан 8 лет назад

равен: равен: равен:

Приложения:

Ответы

Ответ дал: pistmrstorix
0

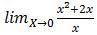
lim x-0 ( x²+2x/x )= lim x-0 ( x(x+2)/x )= lim x-0 ( x+2 )= 0+2= 2

Вас заинтересует