Пожалуйстаааааааааааа
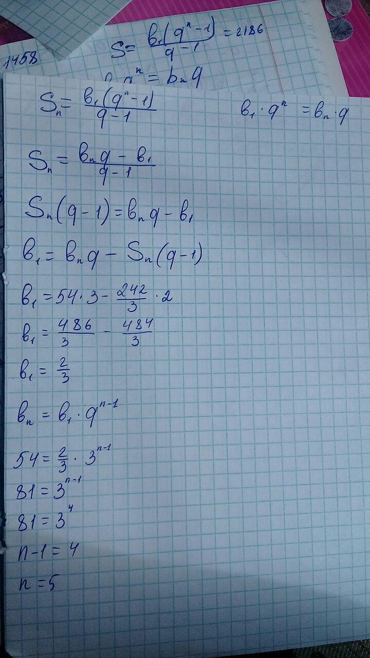
Найти b₁ геометрической прогрессии (bₙ) и номер n, если:
bₙ=54
Sₙ=242/3 (это дробь)
q=3
                        
                            
                            
                    Ответы
                                            Ответ дал: 
                                                                                    
                                        
                                            
                                                
                                                
                                                
                                                    0
                                                
                                            
                                        
                                    Ответ:вот ответ там не верно было
Приложения:
                     
                            
                                            Ответ дал: 
                                                                                    
                                        
                                            
                                                
                                                
                                                
                                                    0
                                                
                                            
                                        
                                    
                                        а вы можете мне этот вопрос! лучшим ответом сделать! пожалуйста!
                                    
                                        
                                        
                                Вас заинтересует
                
                        3 года назад
                    
                
                        3 года назад
                    
                
                        8 лет назад
                    
                
                        9 лет назад