• Предмет: Математика
  • Автор: sizova07
  • Вопрос задан 8 лет назад

Реши уравнение:
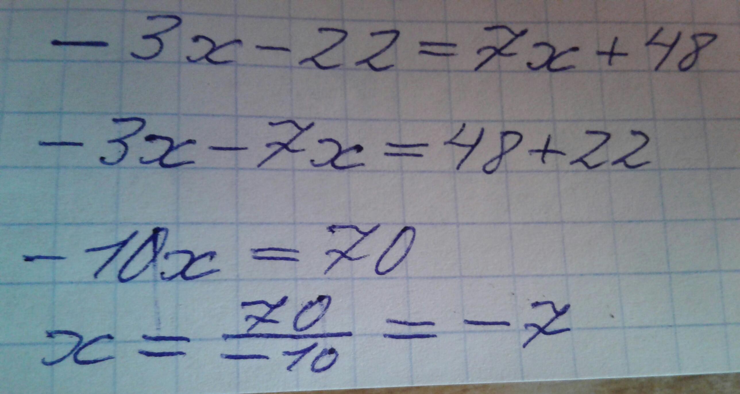
−3x−22=7x+48.

Ответ: x=

Ответы

Ответ дал: ma765
0

Ответ:

X=-7

Пошаговое объяснение:

−3x−22=7x+48

-3x=7x=48+22

-10x=70

x=-7

Ответ дал: Neznaika532
0

Вот так. Легко же...........

Приложения:
Вас заинтересует