• Предмет: Алгебра
  • Автор: mixa6199
  • Вопрос задан 8 лет назад

Сорчон помогите решить ​

Приложения:

Ответы

Ответ дал: kucherjavuy
0

Ответ:

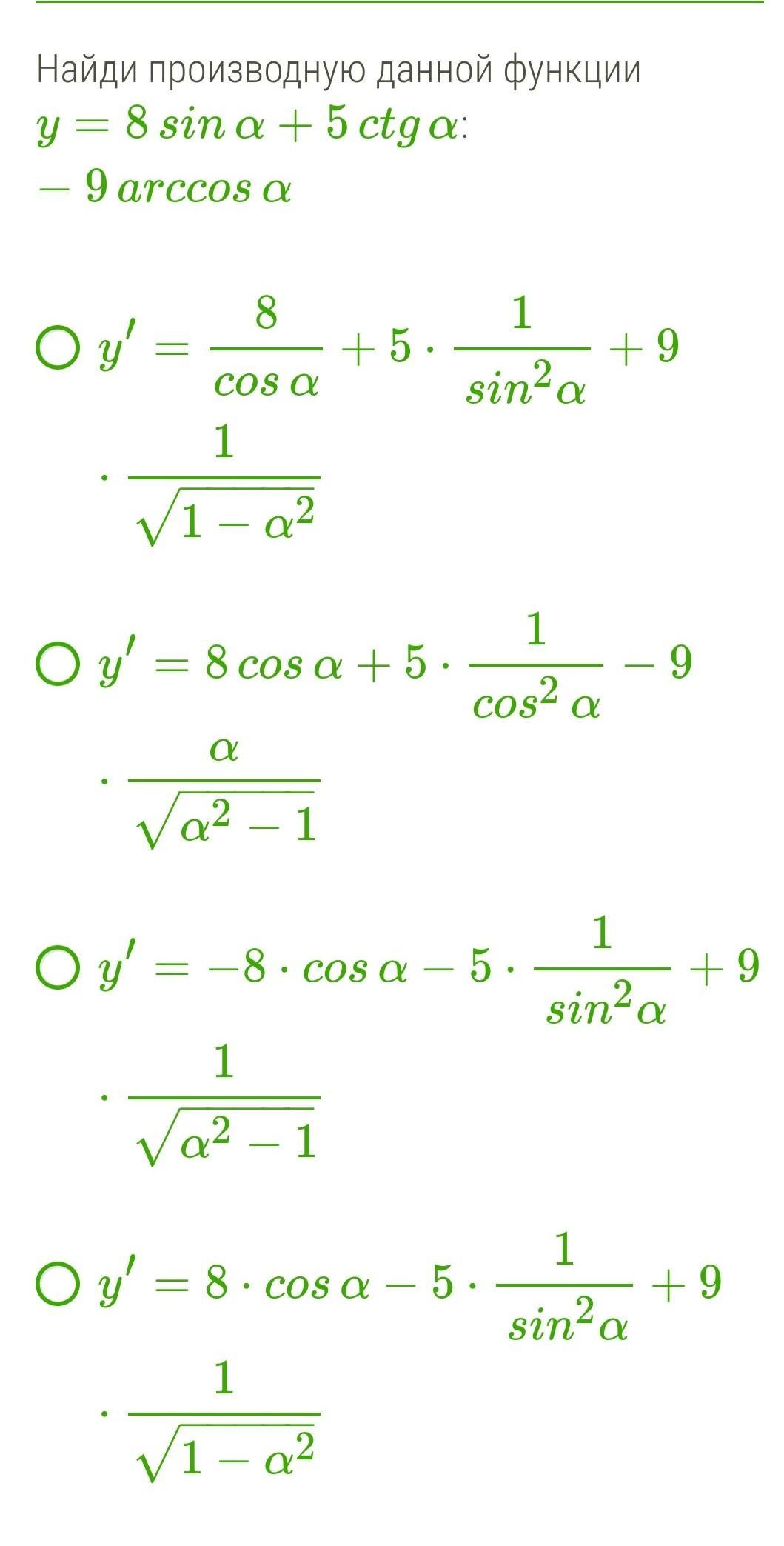
8cos(a)-5*frac{1}{sin^{2}(a) } +9*frac{1}{sqrt{1-a^{2} } }

Объяснение:

Вас заинтересует