• Предмет: Математика
  • Автор: Mallezar
  • Вопрос задан 8 лет назад

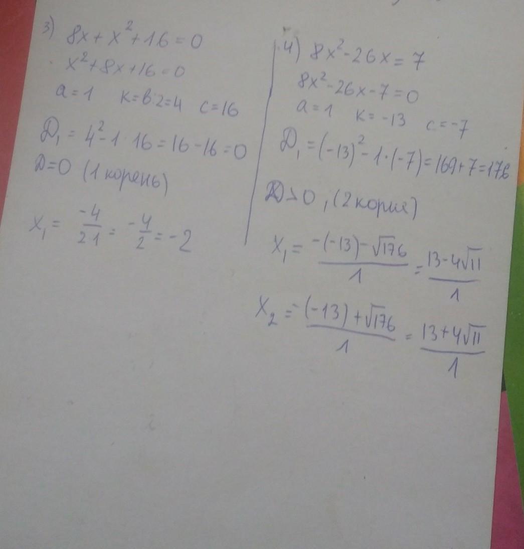
Решите квадратные уравнения:
3) 8х + х2 + 16 = 0
4) 8х2 – 26х = 7

Ответы

Ответ дал: Аноним
0

Ответ:

см.в пр.файл

Пошаговое объяснение:

удачи...

Приложения:
Ответ дал: Mallezar
0
спасибо
Вас заинтересует