• Предмет: Математика
  • Автор: kotoekaterina
  • Вопрос задан 8 лет назад

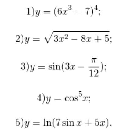
ДАЮ МНОГО БАЛЛОВ!ПРОИЗВОДНЫЕ,РЕШИТЕ ПЖ

Приложения:

Ответы

Ответ дал: sharofat0
0

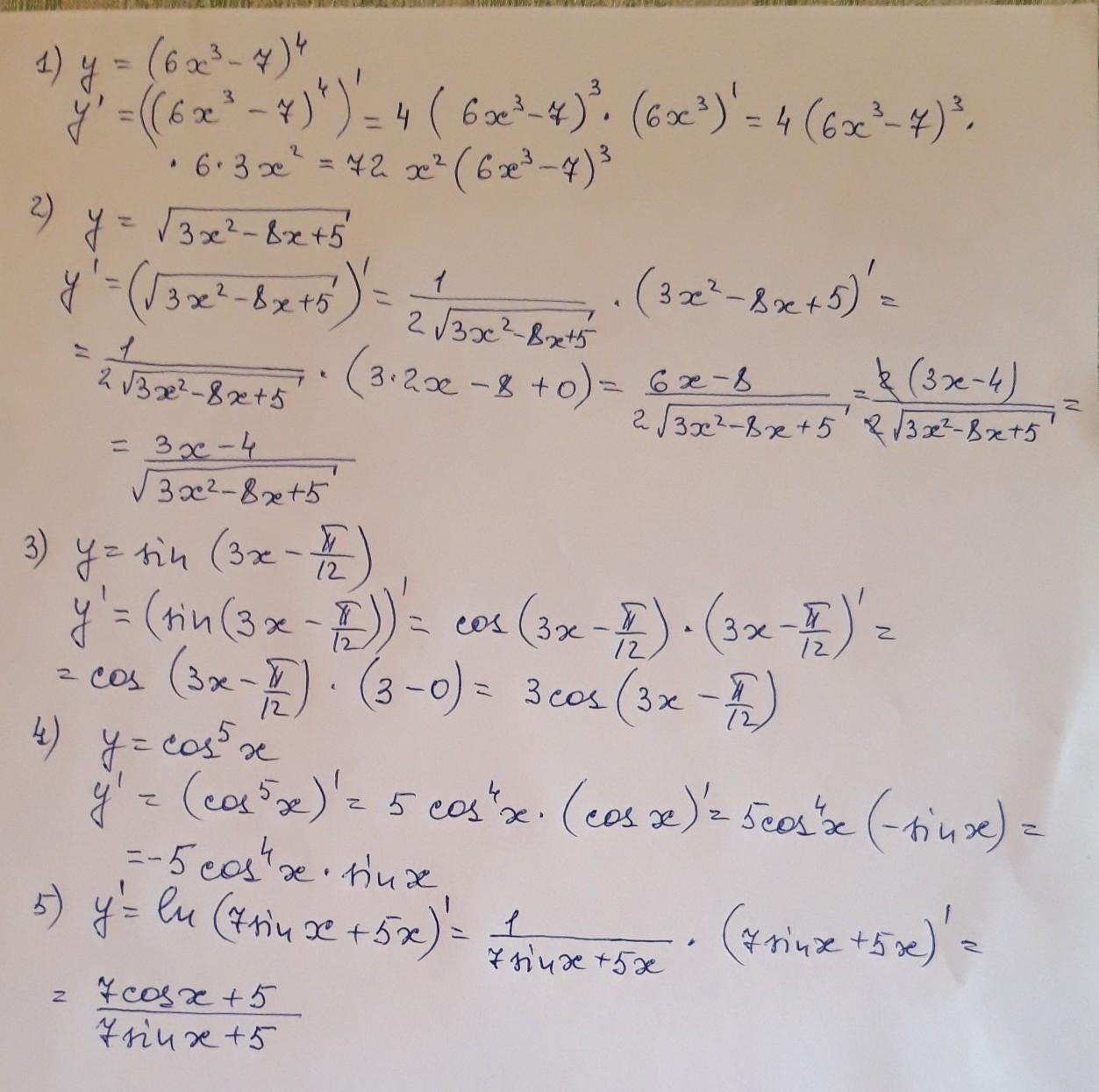
Ответ:

Вычислите производные функций.

Приложения:
Вас заинтересует