• Предмет: Математика
  • Автор: nika556ww
  • Вопрос задан 8 лет назад

2х-3/5=3/4х-1/2 ПОМОГИТЕ, ПРОШУ , СРОЧНО НАДО!

Ответы

Ответ дал: yuliateplaya
0

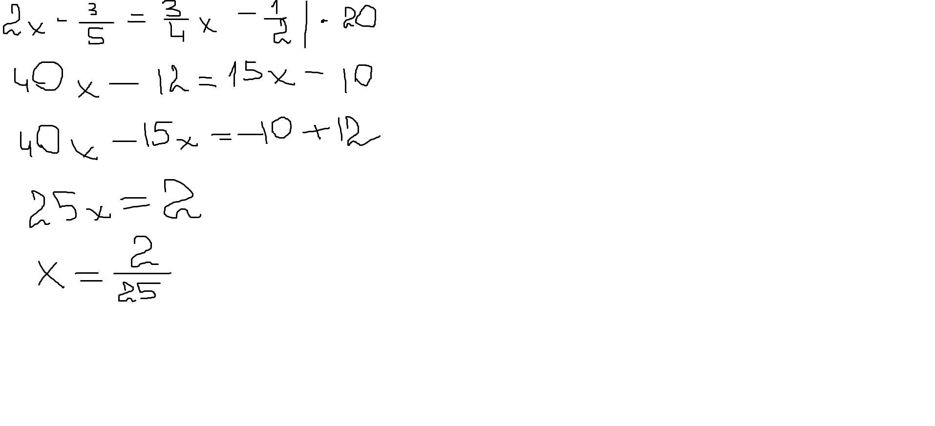
Ответ:

2/25

                        все как на скрине                              

Приложения:
Ответ дал: smtpolina
0

2x -  frac{3}{5}  =  frac{3}{4} x -  frac{1}{2}

Умножаем всё на 20

40x - 12 = 15x - 10

40x - 15x =  - 10 + 12

25x = 2

x =  frac{2}{25}

x = 0.08

Приложения:
Вас заинтересует