• Предмет: Математика
  • Автор: 1448smile
  • Вопрос задан 8 лет назад

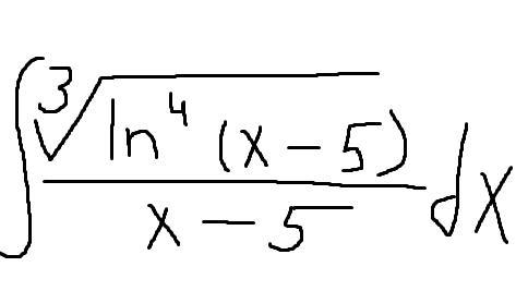
Элементы высшей математики. Интегралы.

Приложения:

Ответы

Ответ дал: AoiK
0

Ответ:

frac{3ln^2(x-5)*sqrt[3]{ln(x-5)} }{7}+c

Пошаговое объяснение:

intlimits {frac{sqrt[3]{ln^4(x-5)} }{x-5} } , dx  = intlimits {frac{ln^{frac{4}{3} } (x-5) }{x-5} } , dx = frac{3ln^2(x-5)*sqrt[3]{ln(x-5)} }{7}+c

Ответ дал: Alexаndr
0

displaystyleintfrac{sqrt[3]{ln^4(x-5)}}{x-5}dx=intsqrt[3]{ln^4(x-5)}d(ln(x-5))=\=frac{3sqrt[3]{ln^7(x-5)}}{7}+C

Вас заинтересует