• Предмет: Физика
  • Автор: thekuzmina337
  • Вопрос задан 8 лет назад

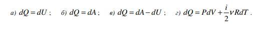
1 Начало термодинамики для изобарного процесса имеет вид:

Приложения:

Ответы

Ответ дал: fatt52
0

Ответ:

г) (работа + изменение внутренней энергии)

Объяснение:

Ответ дал: baron18
0
Вроде под буквой г,
Вас заинтересует