• Предмет: Алгебра
  • Автор: Serafim001
  • Вопрос задан 8 лет назад

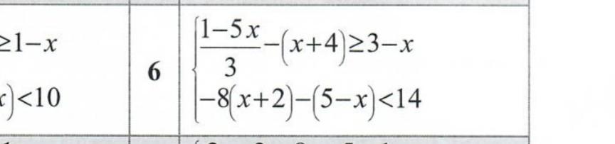
Желательно с решением,но можно без​

Приложения:

Ответы

Ответ дал: bikabushhhh
0

ОТВЕТ ВО ВЛОЖЕНИИИИИИИ

Приложения:
Вас заинтересует