Интегралы. Вычислить площадь зашрихованной фигуры.
Решить задания из картинок, подробно
Приложения:

Ответы
Ответ дал:
0
Ответ:
Объяснение:
А)
∫(4-х²)dx=4х-х³/3
Для интервала [-2;0] площадь: 8-8/3=
∫(4-х)dx = 4х-х²/2
Для интервала [0;4] площадь: 16-8=8
Общая площадь фигуры:
Б)
∫х² dx = х³/3
Для интервала [0;2] площадь:
∫(6-х)dx = 6х-х²/2
Для интервала [2;6] площадь:
Общая площадь фигуры:
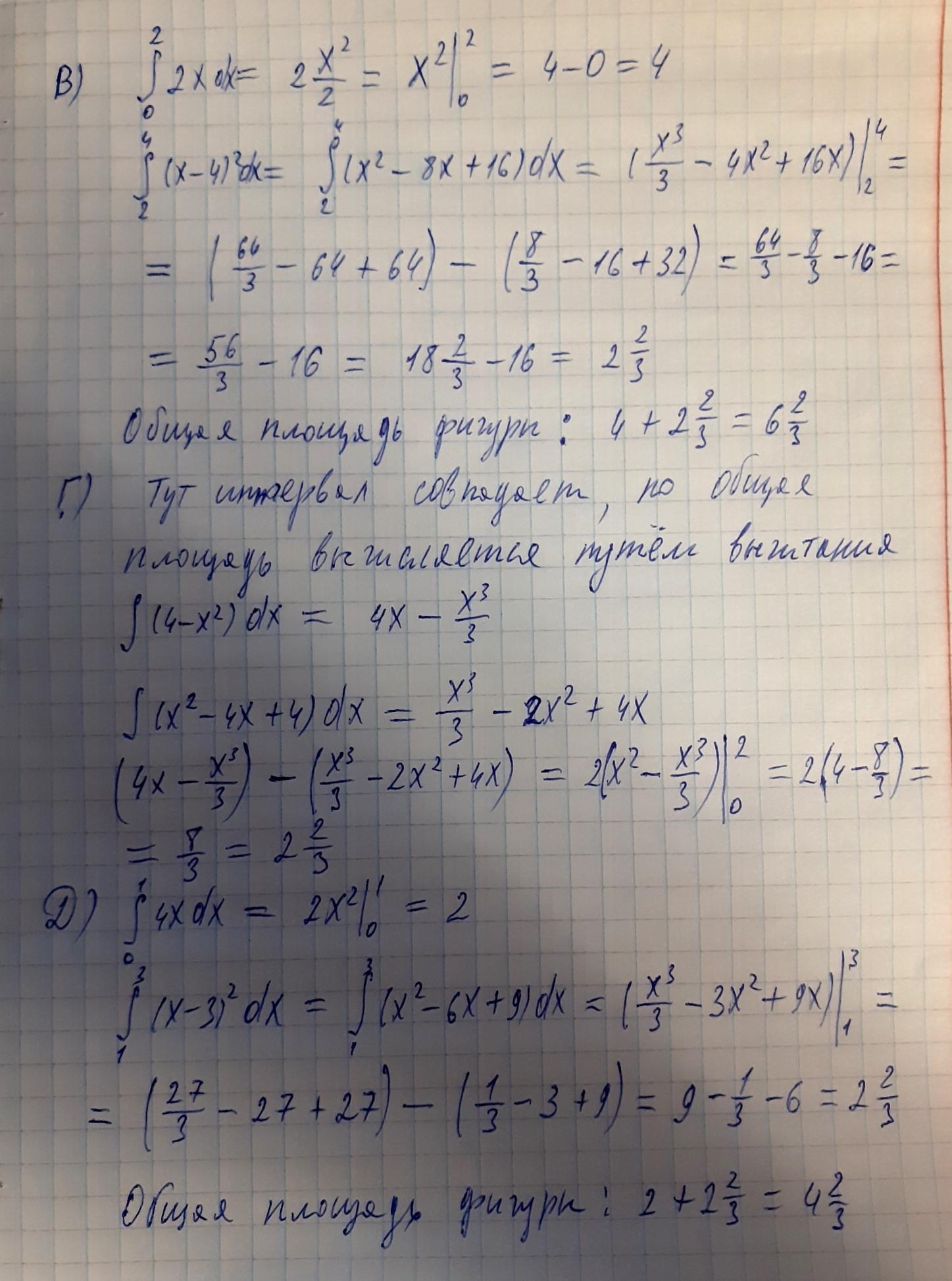
В) далее в прикрепленном файле
Приложения:

Ответ дал:
0
Утомительно набирать длинные решения, вы уж извините за почерк ))
Вас заинтересует
2 года назад
2 года назад
3 года назад
8 лет назад
8 лет назад
9 лет назад
9 лет назад