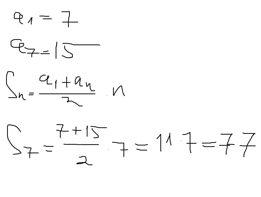
Чому дорівнює сума перших семи членів арифметичної прогресії (An)
якщо a1 = 7, а7 = 15?
а)75
б)77
в)76
г)78
Ответы
Ответ дал:
0
Ответ:
Объяснение:
вот и все
Приложения:

Вас заинтересует
2 года назад
2 года назад
3 года назад
3 года назад
8 лет назад
8 лет назад
9 лет назад