• Предмет: Алгебра
  • Автор: elyyway
  • Вопрос задан 8 лет назад

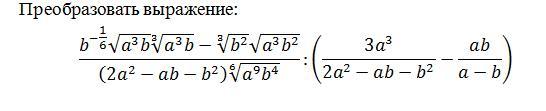
Преобразовать выражение.
помогите пожалуйста

Приложения:

Ответы

Ответ дал: guvanch021272
0

Ответ:

Объяснение:

////////////////////////////////////

Приложения:
Вас заинтересует