Ответы
Ответ дал:
0
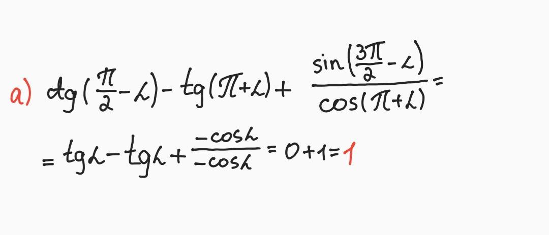
Решение и формулы приведения во вложении.
Приложения:


Вас заинтересует
2 года назад
3 года назад
3 года назад
8 лет назад
8 лет назад
9 лет назад