• Предмет: Математика
  • Автор: diasikananasik
  • Вопрос задан 8 лет назад

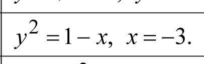
Обчислити пощу фігури, обмежену лініями:

Приложения:

Ответы

Ответ дал: severhvozd2005
0

Ответ: 6

Пошаговое объяснение: вийде прямокутник з довжиною 2 і шириною 3. S = 2*3 = 6

Ответ дал: severhvozd2005
0
x = 3, значить малюєм пряму навпроти ординат . х завжди -3, тому y2 = 1-(-3) = 4. y = 2, малюєм пряму навпроти абсцис . і все, від початку координат до точок виходить прямі 2 і 3
Вас заинтересует