• Предмет: Математика
  • Автор: romannet27ovtane
  • Вопрос задан 8 лет назад

Помогите с двумя интегралами!

Приложения:

Ответы

Ответ дал: Miroslava227
0

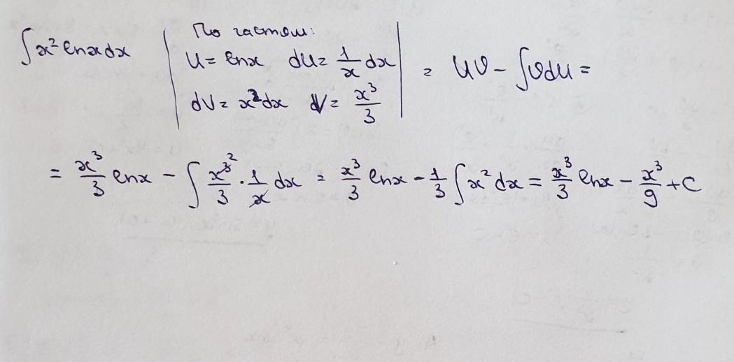
Ответ:

решение на фотографиях

Приложения:
Вас заинтересует