• Предмет: Алгебра
  • Автор: kertovic1
  • Вопрос задан 8 лет назад

помогите, срочно
аззаывфпфавзплвфазп

Приложения:

Ответы

Ответ дал: ckjytyjr22
0

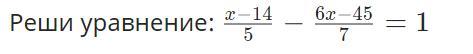
Ответ:

 frac{7(x - 14)}{35}  -  frac{5(6x - 45)}{35}  = 1

7x - 98 - 30x + 225 = 35

 - 23x = 35 - 225 + 98

 - 23x =  - 92

x = 4

Ответ дал: kertovic1
0
спасибо конечно, но я уже завалил
Вас заинтересует