рассчитайте массу алюминия образовавшегося в реакции элетролиза 20,4г оксида алюминия.
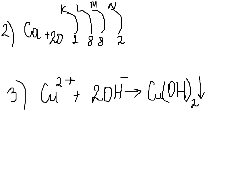
распределите электроны по энергетическим уровням в атоме кальция.
Cu(OH)2 -CuO - CuCI2 - Cu(OH)2
3 РЕАКЦИЮ ЗАПИСАТЬ В СОКРАЩЕННИМ ИОННОМ ВИДЕ
Ответы
Ответ дал:
0
1) 2Al2O3=4Al+3O2
n(Al2O3)=20,4/102=0,2 моль
по уравнение реакции n(Al2O3):n(Al)=2:4=1:2, значит n(Al)=0,4 моль
m(Al)=27*0,4=10,8 г
2) 1s^2 2s^2 2p^6 3s^2 3p^6 4s^2 3d^0
остальное на рисунке.
3) Cu(OH)2=CuO+H2O
CuO+2HCl=CuCl2+H2O
CuCl2+2NaOH=Cu(OH)2+2NaCl
n(Al2O3)=20,4/102=0,2 моль
по уравнение реакции n(Al2O3):n(Al)=2:4=1:2, значит n(Al)=0,4 моль
m(Al)=27*0,4=10,8 г
2) 1s^2 2s^2 2p^6 3s^2 3p^6 4s^2 3d^0
остальное на рисунке.
3) Cu(OH)2=CuO+H2O
CuO+2HCl=CuCl2+H2O
CuCl2+2NaOH=Cu(OH)2+2NaCl
Приложения:
Вас заинтересует
3 года назад
8 лет назад
8 лет назад
11 лет назад
11 лет назад
11 лет назад