Ответы
Ответ дал:
0
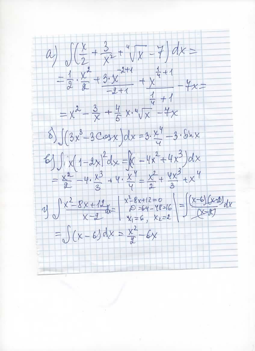
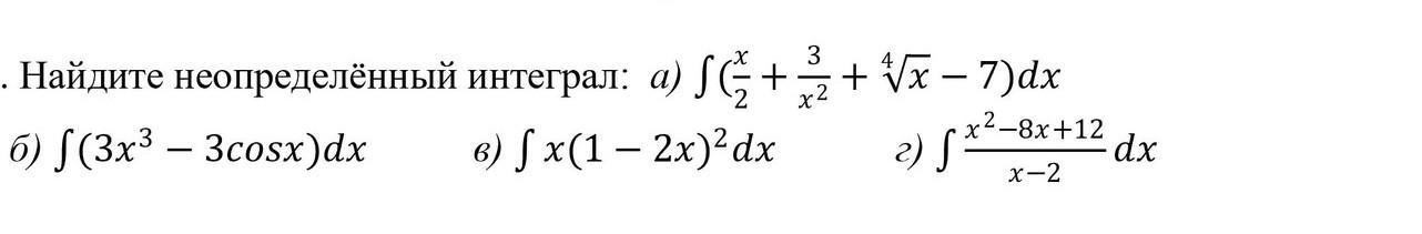
Ответ:используя таблицу интегралов
Объяснение:
Приложения:

Вас заинтересует
2 года назад
3 года назад
3 года назад
8 лет назад
8 лет назад