• Предмет: Алгебра
  • Автор: Evgescha268
  • Вопрос задан 8 лет назад

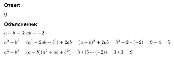
Известно,что a-b=3, ab=-2. Найдите значение выражения a^3-b^3

Ответы

Ответ дал: dtnth
0

Ответ:

9

Объяснение:

a-b=3; ab=-2

a^2+b^2=(a^2-2ab+b^2)+2ab=(a-b)^2+2ab=3^2+2*(-2)=9-4=5

a^3-b^3=(a-b)(a^2+ab+b^2)=3*(5+(-2))=3*3=9

Приложения:
Вас заинтересует