• Предмет: Математика
  • Автор: 27032020
  • Вопрос задан 8 лет назад

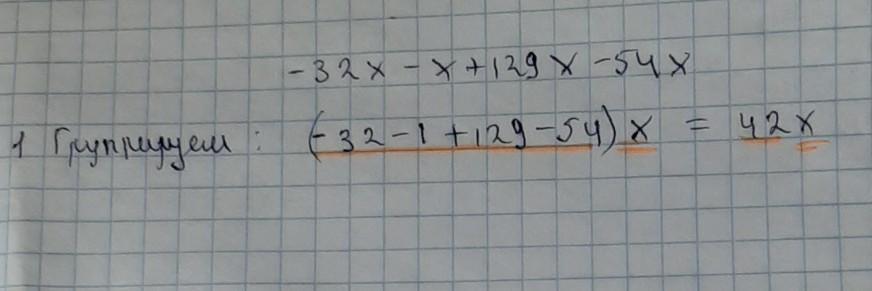
−32x−x+129x−54x помогите решить

Ответы

Ответ дал: OkBumer
0

Ответ:

42 x.

Пошаговое объяснение:

-32x-x= -33x

129x - 33x =96x

96x -54x = 42x/

Ответ дал: lenyachmo
0

Пошаговое объяснение:

Ахоаоооооаароаоооткаооап

Приложения:
Вас заинтересует