• Предмет: Математика
  • Автор: MamkinXaker228
  • Вопрос задан 8 лет назад

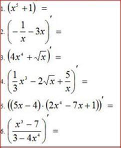
Дам 82 балла! Найти производные следующих функций

Приложения:

Ответы

Ответ дал: IrkaShevko
0

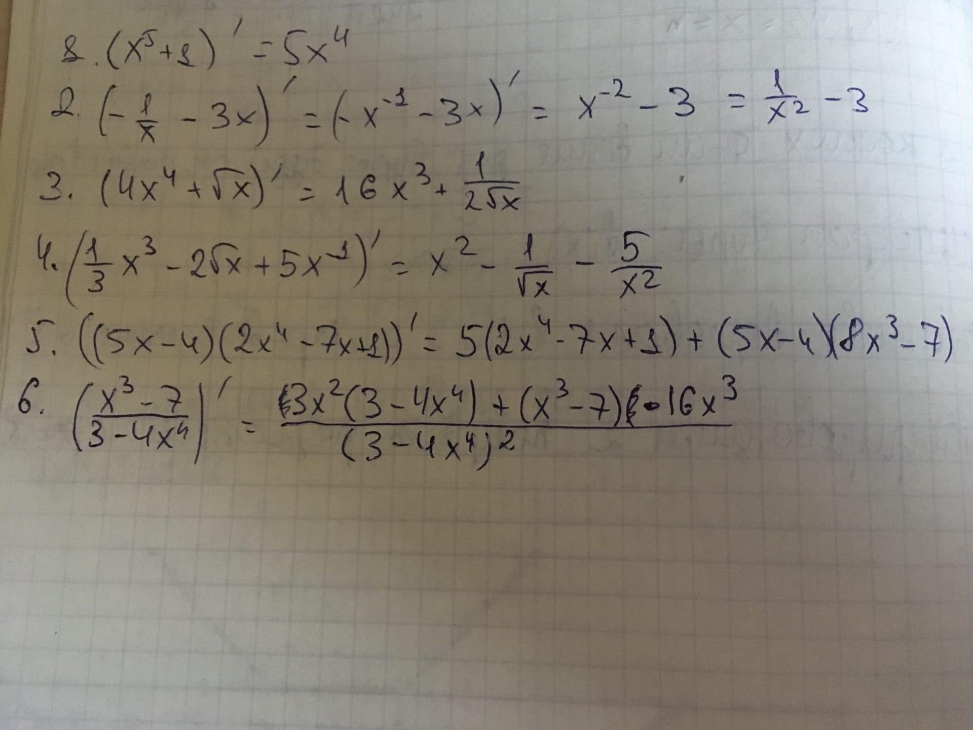
Ответ:

Пошаговое объяснение:

Приложения:
Вас заинтересует