• Предмет: Алгебра
  • Автор: SwiftKey1410
  • Вопрос задан 8 лет назад

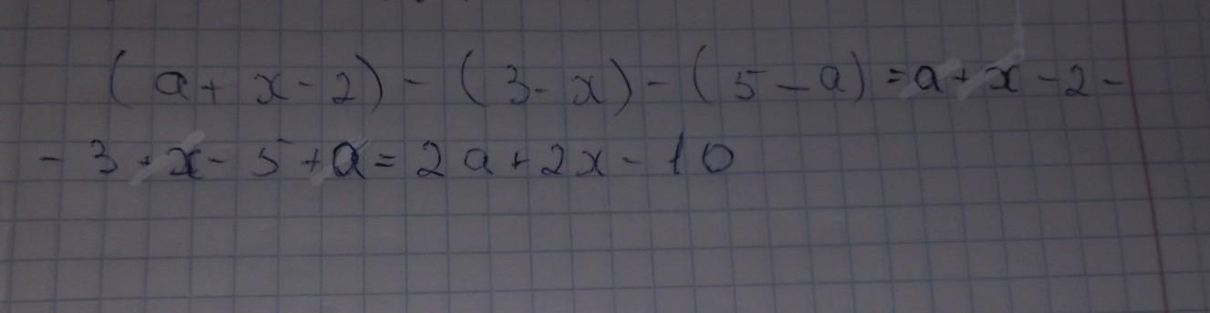
(a+x-2)-(3-x)-(5-a) спростити вираз

Ответы

Ответ дал: annaskylkina
0

Ответ:

2а+2х-10

______________

Приложения:
Вас заинтересует