• Предмет: Математика
  • Автор: justkayratoff
  • Вопрос задан 8 лет назад

Помогите решить неопределённый интеграл

Приложения:

Ответы

Ответ дал: Alexаndr
0

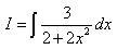
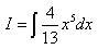
displaystyleint(4sqrt x+6x^2-5sqrt[5]x)dx=frac{8sqrt {x^3}}{3}+2x^3-frac{25sqrt[5]{x^6}}{6}+C\\intfrac{3}{2+2x^2}dx=frac{3}{2}arctgx+C\\intfrac{4}{13}x^5dx=frac{2x^6}{39}+C

Вас заинтересует