• Предмет: Алгебра
  • Автор: 13ll15
  • Вопрос задан 8 лет назад

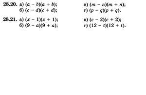
Представить в виде многочлена, используя формулу сокращенного умножения: a2-b2=(a-b)(a+b).

ПОМОГИТЕ СРОЧНО❤️

Приложения:

Ответы

Ответ дал: MatkyltPrivet
0

Ответ:

Объяснение:

20)

1) a^2-b^2

2) c^2-d^2

3)m^2-n^2

4) p^2-q^2

21)

1) x^2-1

2) 81^2-a^2

3) c^2- 4

4) 144-t^2

Ответ дал: MatkyltPrivet
0
Степень. 2^2= два в квадрате (Маленькие цифры сверху, справа)
Вас заинтересует