• Предмет: Математика
  • Автор: missisvala
  • Вопрос задан 8 лет назад

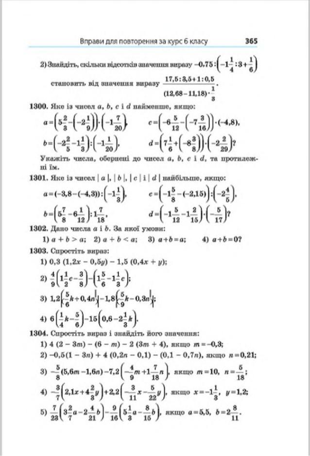
Пожалуйста помогите срочно надо!!!!Номер задания 1300!!!!!! Зарание спасибо!!!!!

Приложения:

Ответы

Ответ дал: varvarchik316
0

Ответ:

а = -21/2 b = 32/9 c = -18/5 d = -5/2

Пошаговое объяснение:

Ответ дал: missisvala
0
без тебя я б не могла бы решить
Вас заинтересует