• Предмет: Математика
  • Автор: q1w789
  • Вопрос задан 8 лет назад

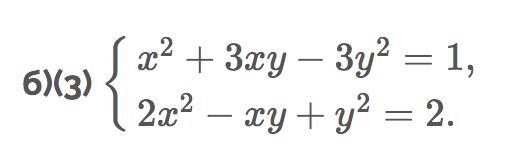
Решите систему уравнений:

Приложения:

Ответы

Ответ дал: LymarIvan
0

Ответ:

(-1; -1), (-1; 0), (1; 0), (1; 1)

Пошаговое объяснение:

{х²+3ху-3у²=1

{2х²-ху+у²=2| ×3

{х²+3ху-3у²=1

{6х²-3ху+3у²=6

Сложим уравнения системы по частям и получим:

{7х²=7

{2х²-ху+у²=2

{х=1

{2×1²-у+у²=2

{х=1

{у²-у=0

{х=1

{у(у-1)=0

(1; 0), (1; 1)

Второй случай:

{х= -1

{2×(-1)²+у+у²=2

{х= -1

{у+у²=0

{х= -1

{у(у+1)=0

(-1; -1), (-1; 0)

Вас заинтересует