Ответы
Ответ дал:
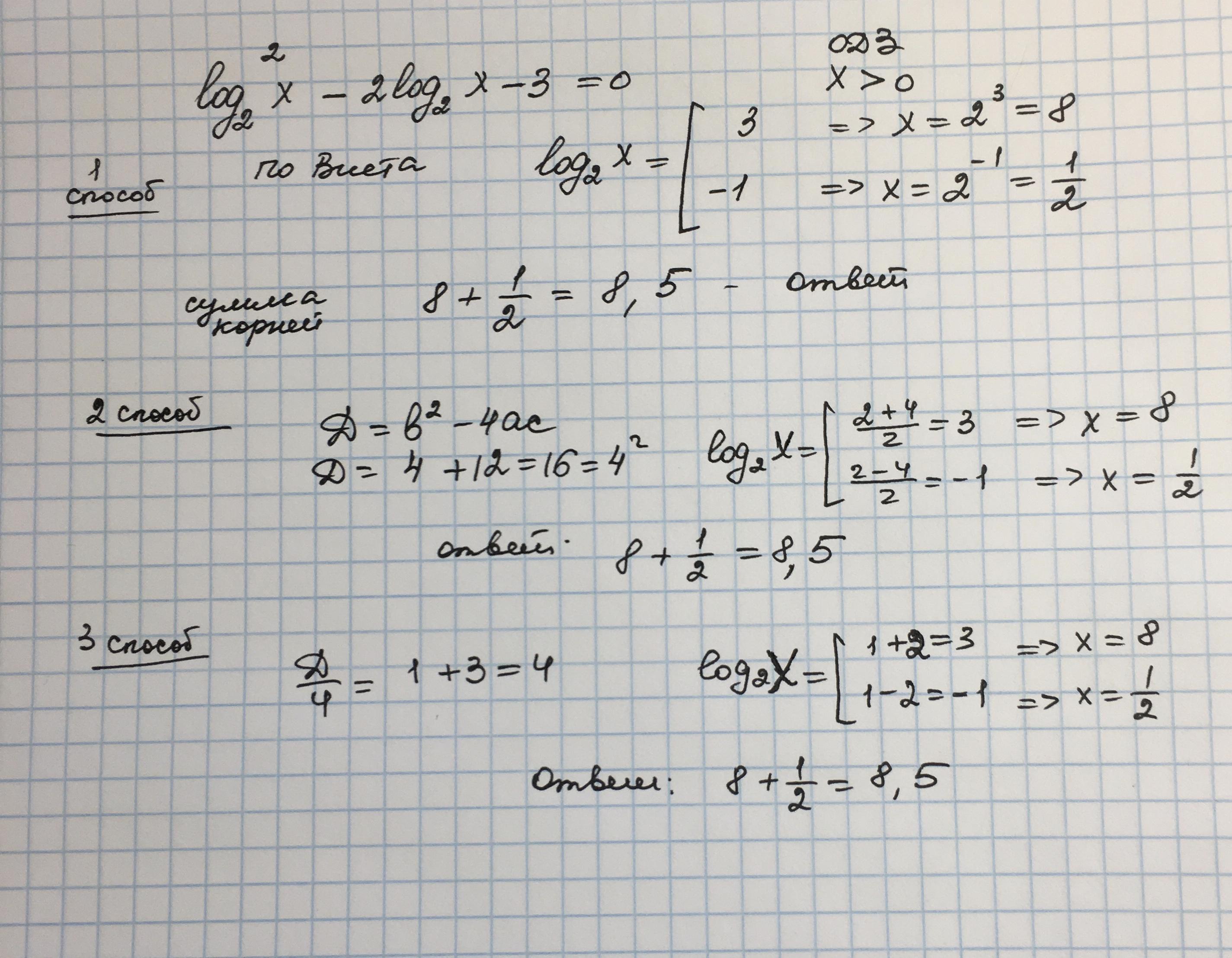
0
Ответ:
Пошаговое объяснение:
............................
Приложения:

Вас заинтересует
3 года назад
3 года назад
8 лет назад
8 лет назад