Ответы
Ответ дал:
0
Ответ:
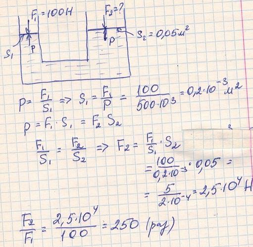
F2=25кН
В 250 раз
Объяснение:
Приложения:

Вас заинтересует
2 года назад
2 года назад
3 года назад
8 лет назад
8 лет назад