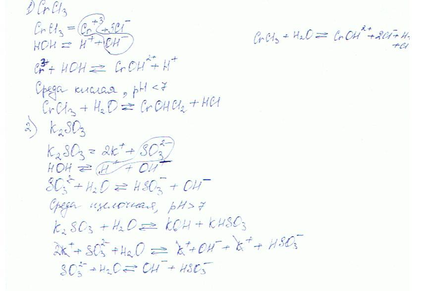
Выбрать из предложенного ряда солей те, которые в водном растворе подвергаются гидролизу. Составить для них уравнения реакций гидролиза в ионной и молекулярно-ионной формах: CrCl3, NaClO4, K2SO3
Ответы
Ответ дал:
0
NaClO4 гидролизу не подвергается. Т.к. NaOH - сильное основание, а HClO4 - сильная кислота.
CrCl3 гидролиз идет по катиону.
CrOH слабое основание
HCl сильная кислота
K2SO3 гидролиз идет по аниону
KOH сильное основание
H2SO3 слабая кислота
Приложения:

Вас заинтересует
2 года назад
8 лет назад
8 лет назад
10 лет назад
10 лет назад
10 лет назад