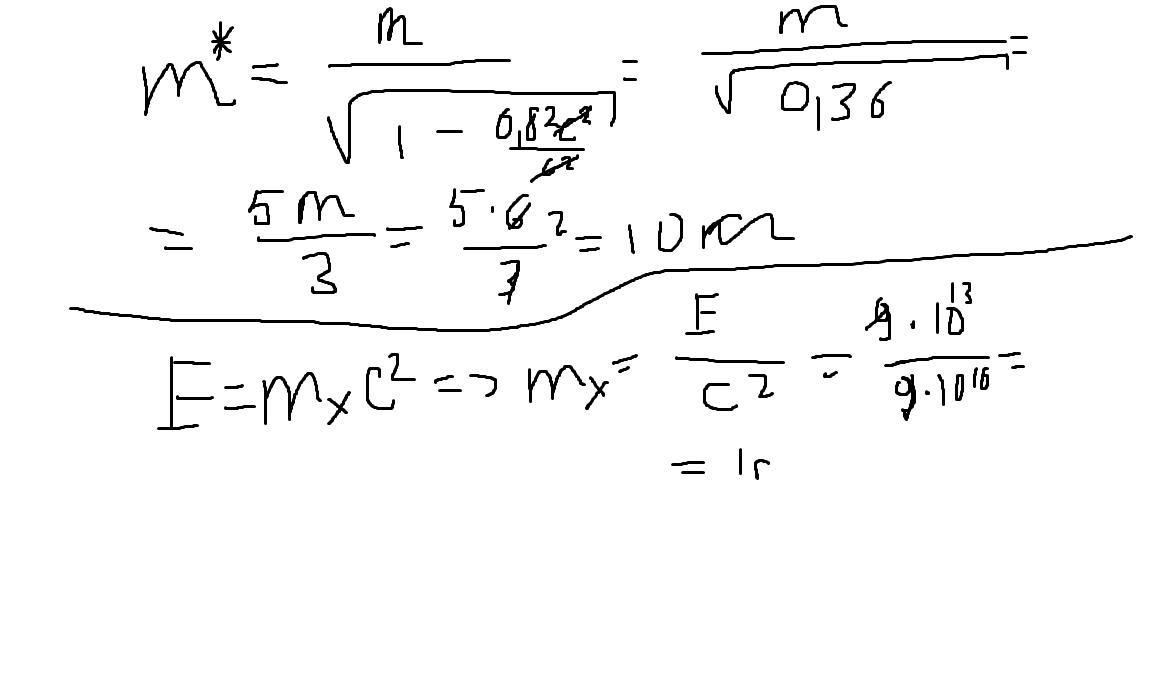
Чему равна масса тела, движущегося со скоростью 0,8 с. Масса покоящегося тела 6 кг.
Телу какой массы соответствует энергия покоя 9*1013 Дж?
Пожалуйста, подробно
Ответы
Ответ дал:
0
Ответ:
m*=10кг (масса покоящегося тела)
mx=1г (масса для определенной энергии покоя )
Объяснение:
Приложения:

Вас заинтересует
2 года назад
2 года назад
3 года назад
3 года назад
8 лет назад
8 лет назад
9 лет назад