• Предмет: Алгебра
  • Автор: Sasha16801
  • Вопрос задан 8 лет назад

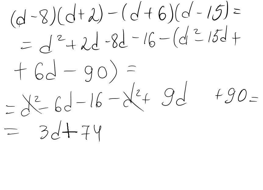
Найди значение выражения при d=−0,14,
предварительно упростив его: (d−8)⋅(d+2)−(d+6)⋅(d−15).

Ответы

Ответ дал: Mummy18
0

Ответ: 3d + 74

Объяснение:

Приложения:
Вас заинтересует