• Предмет: Алгебра
  • Автор: Daniil202020
  • Вопрос задан 8 лет назад

Комбинаторика Решите уравнения

Приложения:

Ответы

Ответ дал: sangers1959
0

Ответ:

Объяснение:

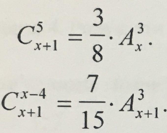
1.

C⁵ₓ₊₁=(3/8)*A³ₓ

(x+1)!/((x+1-5)!*5!)=(3/8)*x!/(x-3)!

(x+1)!/((x-4)!*5!)=(3/8)*x!/((x-4)!(x-3))

x!*(x+1)/5!=(3/8)*x!/(x-3)

(x+1)/5!=(3/8)/(x-3)

(x-3)*(x+1)=(3/8)*120

x²-2x-3=45

x₂-2x-48=0     D=196    √D=14

x₁=-6 ∉      x₂=8.

Ответ: х=8.

2.

Cˣ⁻⁴ₓ₊₁=(7/15)*A³ₓ₊₁

(x+1)!/((x+1-(x-4))!*(x-4)!=(7/15)*(x+1)!/(x+1-3)!

(x+1)!/(5!*(x-4)!=(7/15)*(x+1)!/(x-2)!

1/(5!*(x-4)!)=(7/15)/((x-4)!*(x-3)*(x-2))

1/5!=(7/15)/((x-3)*(x-2))

15*(x-3)*(x-2)=7*5!

15*(x²-5x+6)=7*120  |÷15

x²-5x+6=7*8

x²-5x+6=56

x²-5x-50=0     D=225     √D=15

x₁=-5 ∉       x₂=10.

Ответ: х=10.

Вас заинтересует