• Предмет: Математика
  • Автор: xiulede
  • Вопрос задан 8 лет назад

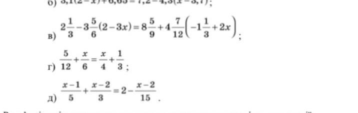
Розвяжіть рівняння
Пожалуйста

Приложения:

Ответы

Ответ дал: natalidnepr1977
0

Ответ:

Пошаговое объяснение:

Приложения:
Вас заинтересует