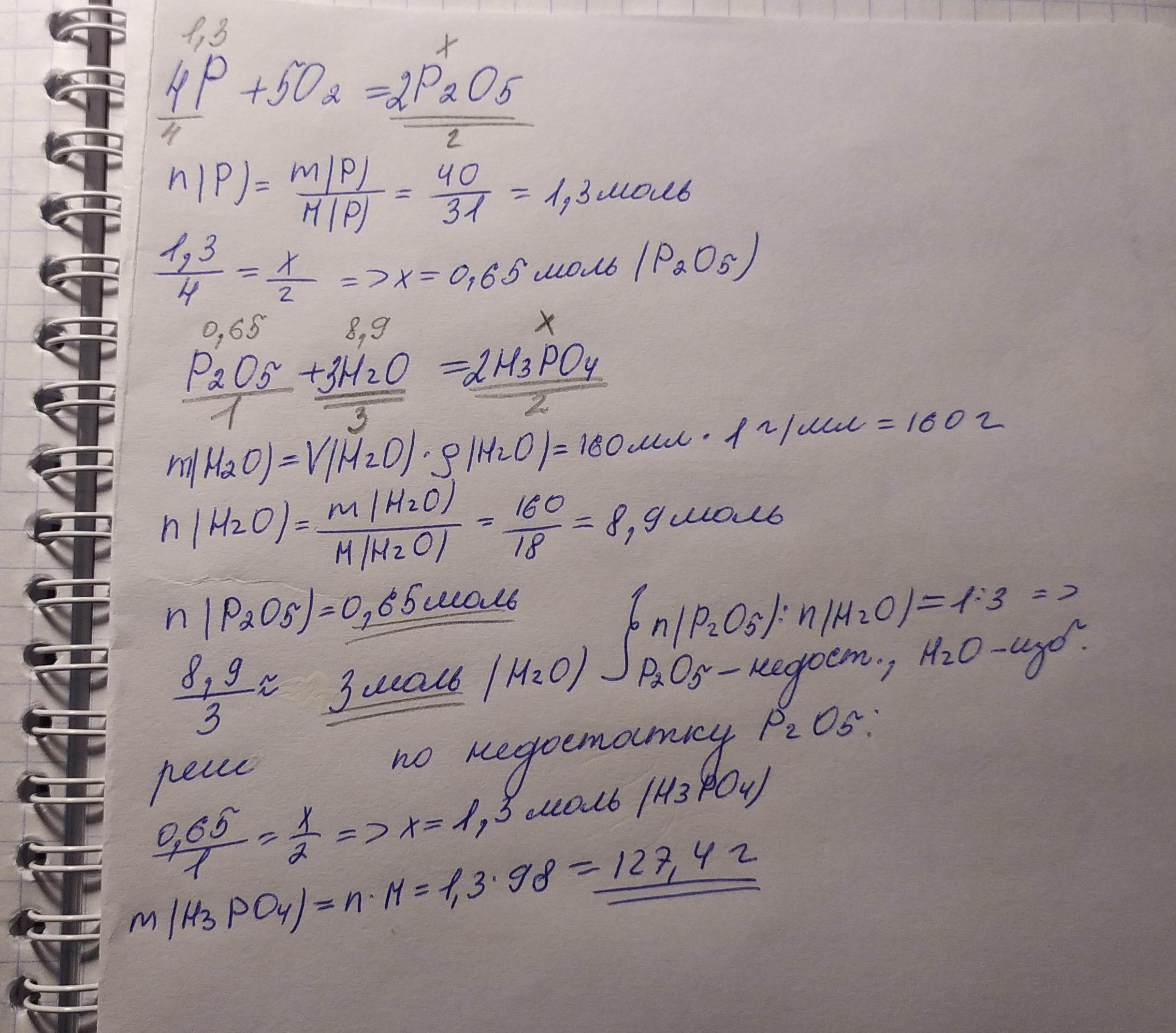
Фосфор (V) оксид, одержаний при спалюванні фосфору масою 40 г, розчинили у воді об'ємом 160 мл. Визначте масову частку ортофосфатної кислоти в такому розчині.
Ответы
Ответ дал:
0
Ответ: 127.4 г
_________________
Приложения:

Вас заинтересует
2 года назад
2 года назад
3 года назад
3 года назад
8 лет назад
8 лет назад
9 лет назад
9 лет назад