• Предмет: Математика
  • Автор: solomiahruba5
  • Вопрос задан 8 лет назад

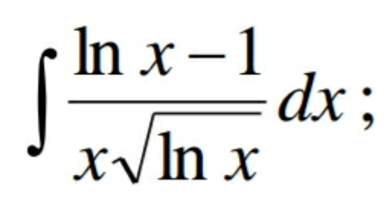
Помогите решить неопределенный интеграл

Приложения:

Ответы

Ответ дал: Mikane
0

intlimitsfrac{In(x)-1}{x*In(x)x^{frac{1}{2} } } } , dx

intlimitsfrac{In(x)}{x*In(x)^{frac{1}{2} } } } , -frac{1}{x*In(x)^{frac{1}{2} } } } , dx

intlimitsfrac{In(x)^{frac{1}{2}} }{x} } } } , -intlimitsfrac{1}{x*In(x)^{frac{1}{2} } } } , dx

intlimitsfrac{In(x)^{frac{1}{2}} }{x} } } } ,dx -intlimitsfrac{1}{x*In(x)^{frac{1}{2} } } } , dx

frac{2sqrt{In(x)}*In(x) }{3} - 2sqrt{In(x)}

Вот так вроде.

Вас заинтересует