• Предмет: Алгебра
  • Автор: solomiahruba5
  • Вопрос задан 8 лет назад

Срочнооо,даю 40 балов.
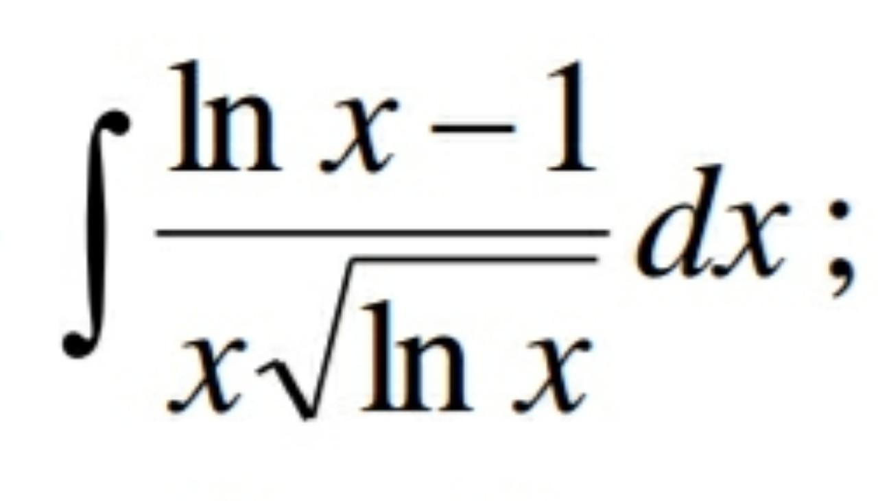
Помогите решить неопределенный интеграл

Приложения:

Ответы

Ответ дал: Helper211
0

Ответ: frac{2(lnx)^{frac{3}{2} }}{3} -2sqrt{lnx}+C

Объяснение:

int {frac{lnx-1}{xsqrt{lnx}} , dx}=int {frac{lnx-1}{sqrt{lnx}} , d(lnx)}\\lnx=t\\int {frac{lnx-1}{sqrt{lnx}} , d(lnx)}=int {frac{t-1}{sqrt{t}} , dt}=int {frac{t}{sqrt{t}} , dt}-int {frac{1}{sqrt{t}} , dt}=int {t^{frac{1}{2} }} , dt}-int {t^{-frac{1}{2}} , dt}=\\=frac{2t^{frac{3}{2} }}{3} -2sqrt{t}+C=frac{2(lnx)^{frac{3}{2} }}{3} -2sqrt{lnx}+C

Вас заинтересует