• Предмет: Математика
  • Автор: nikacat20002
  • Вопрос задан 8 лет назад

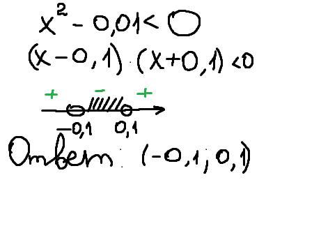
Решите неравенство x²-0,01<0

Ответы

Ответ дал: Юленька194
0

Ответ и Пошаговое объяснение:

Приложения:
Вас заинтересует