• Предмет: Математика
  • Автор: Аноним
  • Вопрос задан 8 лет назад

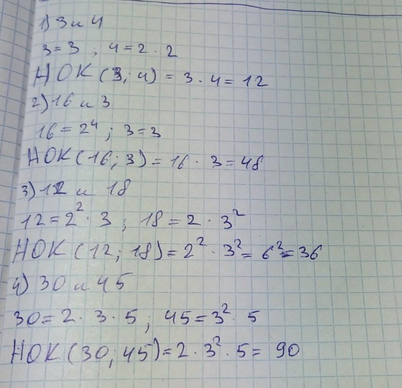
3. Найдите наименьшее общее кратное чисел:
1) 3 и 4;
3) 16 и 3;
2) 12 и 18;
4) 30 и 45.
помогите срочно!!!​

Ответы

Ответ дал: Rahmann
0

//////////////////////////

Приложения:
Ответ дал: vitalikbarnaul
0

Ответ:

12; 48; 36; 90

Пошаговое объяснение:

объяснения на фотографии

Приложения:
Вас заинтересует