Ответы
Ответ дал:
0
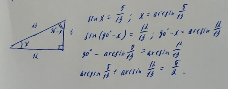
Решение приложено...
Приложения:

Ответ дал:
0
спасибо большое
Вас заинтересует
2 года назад
3 года назад
3 года назад
8 лет назад
8 лет назад
9 лет назад