Ответы
Ответ дал:
0
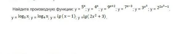
Решение смотрите во вложении
Приложения:

Вас заинтересует
3 года назад
3 года назад
8 лет назад
8 лет назад
9 лет назад