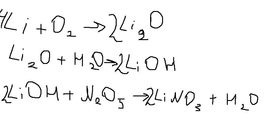
Помогите очень срочно надо! Запишіть хімічні рівняння, які відповідають схемі:
Li → Li2O → LIOH → LINO3 ( там где 2 и 3, это индексы которые стоят внизу)
Ответы
Ответ дал:
0
Ответ:
Объяснение:
Там вначале перед литием 4, обрезалось немного
Приложения:

Вас заинтересует
2 года назад
3 года назад
8 лет назад
9 лет назад