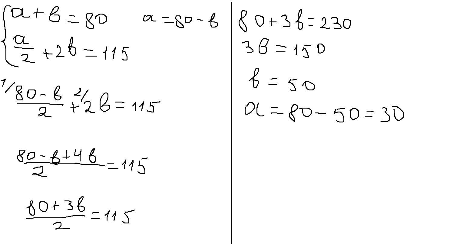
сумма двух чисел равна 80.первое число уменьшить в два раза, а второе число увеличить в два раза, то их сумма будет равна 115. чему равны эти числа?
Ответы
Ответ дал:
0
Ответ:
Объяснение:
До черты начало, после - продолжение
Приложения:

Вас заинтересует
2 года назад
2 года назад