1) В партии из 15 деталей 8 нестандартные. Сколькими способами можно из этой
партии взять 6 деталей так, чтобы 4 были стандартные, а 2 – нестандартные?
2) фото
3) фото
Приложения:


Ответы
Ответ дал:
0
Ответ:
1) 980
2) 28,6
3) 3,05
Объяснение:
1) C₈²·C₇⁴=(8!/(2!(8-2)!))(7!/(4!(7-4)!))=(8!7!)/(2!·3!·4!·6!)=
=6!·7·8·4!·5·6·7/(2!3!4!6!)=7·8·5·6·7/(2!·3!)=7·4·5·7=980
2) 14!/(7!·10!)=10!·11·12·13·14/(7!·10!)=11·12·13·14/7!=11·12·13·14/(1·2·3·4·5·6·7)=
=11·13/5=143/5=28,6
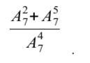
3) (A₇²+A₇⁵)/A₇⁴=(7!/(7-2)!+7!/(7-5)!)/(7!/(7-4)!)=(1/5!+1/2!)/(1/3!)=(1+5!/2!)/(5!/3!)=
=(1+3·4·5)/(4·5)=61/20=3,05
Вас заинтересует
2 года назад
2 года назад
3 года назад
3 года назад
9 лет назад