• Предмет: Алгебра
  • Автор: Aposta1
  • Вопрос задан 8 лет назад

Помогите пожалуйста.

Приложения:

Ответы

Ответ дал: Джалал05
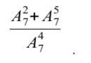
0

Ответ:

1)143/30

Объяснение:

10!*11*12*13*14 / 7!*10! = 11*12*13*14 / 2*3*4*5*6*7 =

= 11*12*13*14 / 14*12*5*6 = 11*13 / 5*6 = 143 / 30

Вас заинтересует