• Предмет: Математика
  • Автор: muspoyipsu
  • Вопрос задан 8 лет назад

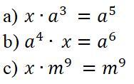
Выразить x в виде степени

Приложения:

Ответы

Ответ дал: elizavetkaredko
0

Ответ:

а) х=а²

б) х=а²

с) х=m¹

Вас заинтересует